This calculator page represents the relationship between Capacitance, Resistance, Inductance and Frequency in a basic RLC circuit. An RLC circuit (also known as a tuned circuit or a resonant circuit) is an electrical circuit consisting of a resistor (R), an inductor (L), and a capacitor (C), connected in series or in parallel. You can use this calculator to calculate any two of these values given the other two.
Shortcuts
Default Keys: None
Default Menu: Utilities
Command: Design Calculators
Locating this option
Available from: Utilities menu > Design Calculators option
Using this option
This calculator is on a tab on the Design Calculators dialog, available from the Utilities menu. The following dialog appears when the Basic RLCF tab is selected.
Press the Clear All button to clear all four values, ready for you to use. Enter the two values you know and the other two values will be calculated in read only boxes.
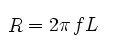
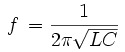
These calculations are based around the following two generally known equations:
and
where R is the resistance, C is the capacitance, L is the inductance and f is the natural frequency of the tuned circuit.
Related Topics
Conversion Calculator | Heat Sink Calculator | Scientific Calculator | Track Impedance Calculator | Track Width Calculator | Via Resistance Calculator